條紋度:光學玻璃內部密度不均的隱形殺手
在光學鏡片加工的質量評價體系中,條紋度(Striae)是一個常被低估卻足以毀掉整個光學系統的關鍵指標。它源于光學玻璃內部微小的折射率波動——這些波動并非肉眼可見的裂紋或氣泡,而是如同水中漣漪般的密度不均,在光線通過時產生不可預測的波前畸變。對于高精度成像系統,一片帶有條紋的鏡片,即使面形精度達到λ/20,其實際成像質量也可能退化到普通玻璃的水平。下面我們將從條紋的物理本質、成因、檢測、對成像的影響、加工控制及前沿進展等方面解析這一光學加工的核心知識點。

一、條紋的物理本質:折射率的三維波動
條紋是指光學玻璃內部折射率呈條紋狀或層狀不均勻分布的現象。其本質是玻璃在熔融、冷卻或退火過程中,由于成分、溫度或應力差異導致局部折射率變化。條紋的幅度通常用折射率偏差Δn表示,典型值為±1×10?? 至 ±1×10??,嚴重時可高達±5×10??。
1.1 條紋的幾何特征
形態:細絲狀、層狀、網絡狀、漩渦狀
方向:沿玻璃流動方向、垂直于冷卻面、隨機分布
尺寸:寬度從數微米到數百微米,長度從毫米到厘米
1.2 條紋的光學效應
當平面波通過條紋區域時,波前會發生局部相位延遲或超前。根據標量衍射理論,這種相位畸變會導致:
聚焦光斑擴大(斯特列爾比下降)
點擴散函數出現旁瓣(雜散光增加)
傳遞函數在中高頻段衰減(分辨率下降)
與面形誤差不同,條紋引起的波前畸變具有局部性和各向異性,難以通過常規的補償光學校正。

二、條紋的成因:從玻璃熔煉到成品的全流程風險
2.1 熔煉階段:成分不均的根源
光學玻璃由多種氧化物(如SiO?、B?O?、BaO、La?O?等)按精確配比熔融而成。條紋產生的典型場景包括:
原料混合不均:部分區域折射率調節劑(如ThO?、Nb?O?)含量偏高或偏低。例如,鑭冕玻璃中La?O?含量波動0.1%,折射率變化約3×10??。
熔化不徹底:石英砂等難熔原料未完全熔解,形成“結石”周圍的成分梯度。
鉑金污染:鉑坩堝在高溫下微量溶解,鉑粒子周圍形成成分環帶。
揮發損失:易揮發組分(如B?O?、PbO)在熔體表面揮發,表層與內層成分差異。
2.2 澄清與均化:消除條紋的關鍵工序
機械攪拌:攪拌棒轉速、深度、形狀影響均化效果。攪拌不充分會在玻璃液中留下螺旋形條紋。
氣泡上?。簹馀萆仙^程中拖曳周圍玻璃,形成管狀條紋。
溫度梯度:熔窯內橫向溫度差導致對流,將富集某一成分的玻璃液拉成條帶。
2.3 成型與退火:條紋的凍結與放大
壓型:將玻璃液倒入模具時,流動剪切會使條紋拉長變細。模具表面溫度不均還會產生熱條紋。
退火:退火爐內溫度梯度導致不同區域黏度差異,殘余應力會調制折射率分布。退火不當甚至會將原有條紋“放大”數倍。
切割與研磨:機械加工不會產生內部條紋,但可能將表面微裂紋擴展為“表面條紋”。

三、條紋的檢測:從肉眼到干涉儀
3.1 傳統方法:陰影法與紋影法
陰影法:將玻璃樣品置于點光源和屏幕之間,條紋區域因折射率梯度使光線偏折,在屏幕上形成明暗條紋。靈敏度約Δn=1×10??。
紋影法:在陰影法基礎上加入刀口,可增強對比度,檢測Δn=5×10??的微弱條紋。這是光學玻璃廠最常用的快速檢測手段。
3.2 干涉法:定量測量
馬赫-曾德干涉儀:可定量測量折射率分布,精度Δn=1×10??。需將玻璃加工成平行平板。
菲佐干涉儀:配合浸液技術,直接測量玻璃塊的折射率不均勻性。
全息干涉法:可記錄三維折射率分布,但數據處理復雜。
3.3 工業標準與分級
根據中國國家標準GB/T 7962.11-2010和ISO 10110-4,條紋度分為若干等級:
| 等級 | Δn最大值 | 典型應用 |
| 0 | < 1×10?? | 光刻物鏡、空間相機 |
| 1 | 1×10?? ~ 2×10?? | 高倍顯微物鏡 |
| 2 | 2×10?? ~ 5×10?? | 精密鏡頭、激光器 |
| 3 | 5×10?? ~ 1×10?? | 普通相機鏡頭 |
| 4 | > 1×10?? | 照明光學、防護窗 |
四、條紋對光學成像的具體影響
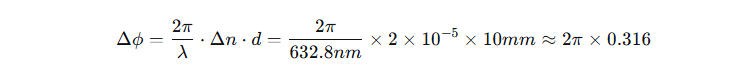
4.1 波前畸變與像差
考慮一片透鏡,其表面加工完美,但內部存在Δn=2×10??、寬度1mm的條紋帶。光線通過10mm厚玻璃時,引入的相位差為:

即約0.316波長的光程差。這相當于在波前上疊加了一個局部凸起,導致:
聚焦光斑能量損失約20%(斯特列爾比從0.95降至0.75)
點擴散函數出現不對稱的衍射環
4.2 雜散光與對比度下降
條紋界面處的折射率突變會產生菲涅爾反射和散射。雖然單次反射很弱(Δn=1×10??時反射率約1×10??),但條紋密集分布時累積效應顯著。雜散光會使圖像對比度下降,在熒光顯微鏡等弱信號探測中尤為致命。
4.3 特殊系統的敏感性
干涉測量系統:條紋引入的相位噪聲直接等價于測量誤差。例如,斐索干涉儀參考鏡若存在條紋,系統誤差可達λ/20。
激光諧振腔:腔內元件的條紋會導致光束質量劣化,出現“熱斑”或模式畸變。
光刻投影物鏡:193nm波長下,Δn=1×10??的條紋即可引入λ/50的波前誤差,超出光刻機容差。

五、條紋的抑制與消除:加工中的實戰策略
5.1 玻璃選材:從源頭規避
選擇高質量光學玻璃:如肖特、豪雅、康寧等品牌的“條紋等級0”材料。價格雖高,但省去后續篩選成本。
避免易產生條紋的玻璃牌號:高折射率鑭系玻璃、含氟磷酸鹽玻璃、硫系玻璃等對工藝更敏感。
批次檢驗:每批次到貨抽檢3-5片,用紋影法確認條紋等級。
5.2 機械加工:不產生新條紋但可能暴露舊條紋
銑磨、拋光、磨邊等冷加工不會在玻璃內部產生新條紋,但會:
將靠近表面的條紋暴露出來
研磨熱可能改變表面薄層折射率(通常<1μm深度,影響可忽略)
5.3 熱處理方法:局部退火修復
對于Δn<5×10??的輕微條紋,可通過精密局部退火改善。將鏡片加熱至玻璃轉變點附近(Tg±20℃),施加特定溫度梯度,使折射率梯度擴散均勻。但此方法風險高,可能引入新的應力。
5.4 鍍膜與裝配:被動補償
增透膜:雖然不能消除條紋,但可減少因散射引起的雜散光。
光學膠合:將條紋鏡片作為膠合組的內部元件,利用另一片鏡片的像差補償,但這要求精確知道條紋分布。
5.5 工程實踐中的折衷
在實際生產中,完全消除條紋是不經濟的。合理的策略是:
1. 根據光學系統對波前誤差的容限,確定允許的條紋等級
2. 在鏡片毛坯階段進行紋影檢測,篩選合格者
3. 對關鍵鏡片(如物鏡前組)使用條紋等級0材料
4. 對非關鍵鏡片(如場鏡、窗口)接受低等級條紋

六、案例分析:條紋導致的失敗與教訓
案例1:紅外光學系統的“鬼影”
某型號紅外熱像儀批量出現中心亮斑,疑似光學系統內部反射。經排查,一片鍺窗口存在Δn=8×10??的環形條紋,在8-12μm波段引起菲涅爾反射增強,形成“鬼影”。更換為條紋等級2的鍺片后問題解決。
案例2:高功率激光器的光束質量劣化
一臺100W光纖激光器的準直鏡組使用國產K9玻璃,紋影檢測未發現明顯條紋。但在滿功率運行時,輸出光斑出現周期性調制。事后用干涉儀檢測發現玻璃存在Δn=3×10??的層狀條紋,在熱透鏡效應下被放大。改用熔石英(條紋等級0)后調制消失。
案例3:天文望遠鏡的視寧度下降
一架口徑500mm的反射望遠鏡,其校正板存在大面積條紋,導致星點像出現不規則“尾巴”。更換校正板后,極限星等提高0.5等。教訓:天文光學對條紋極其敏感,任何微小的折射率波動都會破壞長曝光成像的銳度。
七、前沿技術:從檢測到制造的新突破
7.1 高精度檢測技術
光學相干層析:可無損檢測玻璃內部三維折射率分布,深度分辨率1-5μm。
數字全息顯微:單次測量即可獲得折射率場,適用于微小鏡片。
計算成像輔助:通過實際成像質量反推條紋分布,進行數字補償。
7.2 玻璃制造工藝革新
電熔法:替代火焰熔煉,減少揮發引起的成分不均。
連續熔煉+動態攪拌:實時調控熔體成分,條紋等級可穩定在1-2級。
溶膠-凝膠法:化學法制備光學玻璃,理論上可避免條紋,但成本極高。
7.3 增材制造光學玻璃
3D打印光學玻璃技術(如麻省理工G3DP項目)允許逐層控制折射率,理論上可設計出無條紋甚至變折射率光學元件。目前仍處于實驗室階段,表面粗糙度和氣泡問題尚未解決。
總結與工程建議
條紋度是光學玻璃品質的“隱形標尺”,它不像氣泡那樣一目了然,卻能在不知不覺中毀掉精心設計的光學系統。對于光學工程師和加工人員,以下幾點值得牢記:
1. 設計階段:根據系統波前容限,明確條紋等級要求,避免過度設計或設計不足。
2. 采購階段:從信譽良好的供應商采購,并要求提供每批次的紋影檢測報告。
3. 加工前檢驗:對關鍵鏡片毛坯進行干涉或紋影復檢,剔除不合格品。
4. 加工中保護:避免過熱加工,不引入附加應力。
5. 裝配與測試:整機光學測試時,若出現無法解釋的雜散光或分辨率下降,應考慮條紋可能性。
在納米級精度的光刻物鏡、空間望遠鏡、高端顯微鏡等系統中,條紋度與面形精度、表面粗糙度并列三大核心指標。理解并控制條紋,是通往頂級光學制造的必修課。下一次,當您凝視一片晶瑩剔透的光學玻璃時,請記住——真正的完美,隱藏在那不可見之處的均勻一致。