光學(3D)三維視覺成像技術原理
三維視覺成像作為當前工業視覺信息感知的核心技術,隨著工業4.0時代的臨近,3D視覺成像在制造業的熱度也愈加高漲,下面我們將通過三種常見的三種光學三維視覺成像技術為大家做一個簡單的介紹!

飛行時間法(通過光線的時間差恢復深度)
飛行時間(Time of Flight,ToF)3D成像是一種通過給測量光脈沖從發射到接收所需的時間差來獲取深度信息的技術,目標連續發送光脈沖,然后用傳感器接收從物體返回的光,通過探測光脈沖的飛行(往返)時間來得到目標物距離的一種成像技術。根據測距方式的不同,還可以分為直接測量飛行時間(D-ToF)和間接測量飛行時間(I-ToF)。
直接測量飛行時間(D-ToF)通過向被測物體發射和接收N次光信號,然后對接收到的光信號的飛行時間進行直接統計,其中出現頻率最高的飛行時間被用來計算被測物體的景深。DTOF測量的是發射脈沖和接收脈沖之間的時間間隔。
計算公式為:測量距離=(光子傳播時間/2)*光的速度
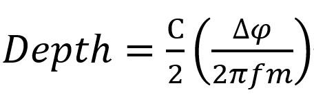
間接測量飛行時間(I-ToF),全稱indirect Time of Flight,即iTof是通過測量相位偏移來間接測量光的飛行時間,而非直接測量飛行時間。大多數ITOF間接測量方案使用測量相位偏移的方法,即發射正弦波/方波和接收正弦波/方波之間的相位差。
相位到距離深度計算公式為:
C:光的速度。
fm:設制頻率。
在測量精度上,dTof的測量精度不會隨著測量距離的增大而降低,iTof的測量精度會受到測量距離的影響。在功耗上,由于dTof采用脈沖波,能夠達到超低占空比,所以功耗低。而iTof隨著測量距離的增大,需要提高光照功率或者延長曝光時間來獲取更高的精度,因此所需的功耗也會大幅增加。整體而言,TOF成像的特點是檢測速度快、視場大、工作距離遠,價格相對便宜,但精度不盡如人意,易受環境光線的影響。
結構光法(散斑投射)
結構光法是目前運用最廣泛的一種視覺成像技術,也是目前是機器人3D視覺感知的主要方式,適用于各種表面紋理的物體,測量精度較高。
結構光成像系統是由若干個投影儀和相機組成,常用的結構形式有:單投影儀-單相機、單投影儀-雙相機、單投影儀-多相機、單相機-雙投影儀和單相機-多投影儀等典型結構形式。常用的投影儀主要有下列幾種類型:液晶投影(LCD)、數字光調制投影(DLP,如數字微鏡器件(DMD)、激光LED圖案直接投影。
原理:投影儀向目標物體投射特定的結構光照明圖案,由相機攝取被目標調制后的圖像,再通過圖像處理和視覺模型求出目標物體的三維信息。根據結構光投影次數,可以分成單次投影3D和多次投影3D方法。
單次投影結構光主要采用空間復用編碼和頻率復用編碼形式實現,常用的編碼形式有:彩色編碼、灰度索引、幾何形狀編碼和隨機斑點。目前在機器人手眼系統應用中,對于三維測量精度要求不高的場合,如碼垛、拆垛、三維抓取等,比較受歡迎的是投射偽隨機斑點獲得目標三維信息。
多次投影3D方法主要采用時間復用編碼方式實現,常用的圖案編碼形式有:二進制編碼、多頻相移編碼τ35和混合編碼法(如格雷碼十相移條紋)等。
條紋投影3D成像基本原理是利用計算機生成結構光圖案或用特殊的光學裝置產生結構光,經過光學投影系統投射至被測物體表面,然后采用圖像獲取設備(如CCD或CMOS相機)采集被物體表面調制后發生變形的結構光圖像,利用圖像處理算法計算圖像中每個像素點與物體輪廓上點的對應關系;最后通過系統結構模型及其標定技術,計算得到被測物體的三維輪廓信息。
在實際應用中,常采用格雷碼投影、正弦相移條紋投影或格雷碼十正弦相移混合投影3D技術。
立體視覺成像
立體視覺成像是用一只眼睛或兩只眼睛感知三維結構,通過從不同視點獲取兩幅或多幅圖像,然后根據圖像中的差異進行模型重建,從而得到目標物體的三維結構或深度信息。根據重建所需圖像數量的不同,立體視覺法主要分為單幅圖像法、基于雙目視覺法以及多目立體視覺法。
單目視覺成像
單目視覺深度感知線索通常有:透視、焦距差異、多視覺成像、覆蓋、陰影、運動視差等。在機器人視覺里還可以用鏡像1,以及其他 shape from X10等方法實現。
雙目視覺成像
雙目視覺深度感知視覺線索有:眼睛的收斂位置和雙目視差。在機器視覺里利用兩個相機從兩個視點對同一個目標場景獲取兩個視點圖像再計算兩個視點圖像中同名點的視差獲得目標場景的3D深度信息。
典型的雙目立體視覺計算過程包含下面四個步驟:圖像畸變矯正、立體圖像對校正、圖像配準和三角法重投影視差圖計算。
多(目)視覺成像
也稱多視點立體成像,用單個或多個相機從多個視點獲取同一個目標場景的多幅圖像,重構目標場景的三維信息。其基本原理如下圖所示。
多視點立體成像主要用于下列幾種場景:
1)使用多個相機從不同視點,獲取同一個目標
場景多幅圖像,然后基于特征的立體重構等算法求取場景深度和空間結構信息
2)從運動恢復形狀(SM)的技術。使用同一相機在其內參數不變的條件下,從不同視點獲取多幅圖像,重構目標場景的三維信息。該技術常用于跟蹤目標場景中大量的控制點,連續恢復場景的3D結構信息、相機的姿態和位置。
立體視覺成像最大的特點就是不需要額外的光源,傳統的自然光就可以滿足需求,應用廣泛且抗干擾性強。但由于需要在多個相機之間建立點對點的對應關系,步驟相對繁瑣,對于表面紋理不豐富的目標可能不夠準確。
素材僅供學習--參考來源:機器人網、知乎大大通--